
北京时间12月23日,80足球直播吧钱小石、陈江平团队,与物理学院、自然科学研究院洪亮课题组,化学化工学院黄兴溢课题组组成的跨学科交叉研究团队在Nature上发表“High-entropy polymer produces a giant electrocaloric effect at low fields”的论文,通过精巧设计分子缺陷调控弛豫铁电材料,制备了一种极化高熵高分子,显著提高低电场下的巨电卡效应,并首次将循环寿命提高至逾百万次。钱小石副教授为本文第一作者与通讯作者。这是我国科研单位首次在Nature发表以电卡制冷为主题的论文,也是上海交大80足球直播吧首次以第一完成单位在Nature上发表研究论文。

巨电卡效应(Giant Electrocaloric Effect)是一种奇异的凝聚态物理现象,利用电介质充放电过程中的可逆电致温变组成制冷循环,逆着温度梯度输运热量。该领域研究涉及工程热物理、凝聚态物理、电子电气工程、机械工程、有机/无机功能材料等学科,具有显著学科交叉特色。电卡制冷系统使用介电电容器制冷,电能损耗小、能效高,具有零温室效应潜能(GWP)、易于小型化/轻量化等特点,是实现双碳目标的重要颠覆性前瞻技术之一。然而,目前最优的制冷电介质仍需极高外加电场,才能产生工业化可用的降温效果,而高电场在实际样机工作过程中,极易造成材料老化与击穿,因而如何提升材料在低电场下的电致熵变是应用领域亟需攻克的难题。

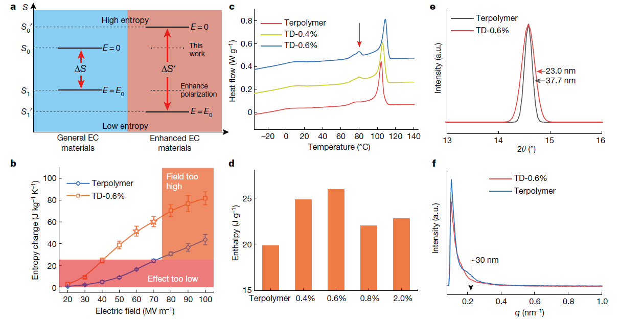
图1 通过设计极化高熵材料提高低场电卡效应
本文通过设计一系列极化高熵高分子,显著增强了高分子的本征电致熵变,无需异质材料掺杂。在较低外加电场(50 MVm-1)的驱动下,这种极化高熵材料表现出的电卡效应是目前最优制冷高分子的近4倍。多种结构表征均表明,高熵高分子同时具备更高的结晶度与更小的晶粒尺寸,据此可推测材料内呈现极化基元数量的显著增长,系统具有更高的自由度与极化熵。

图2 高熵聚合物场致相变分析
除了提高零场偶极自由度,该高熵高分子在低电场下更容易发生相变。上海光源同步辐射19U,16B线站原位电场下的X射线衍射结果表明,极化高熵材料的相变能垒更低,外加电场后极化晶区的比例更高,在低电场驱动下相变能力提高5倍。同时,准弹性中子散射实验表明,高熵高分子高频震动受限(1ns),因而该高熵高分子能够在实现低场高电卡效应的同时表现出较高的机械强度,有利于探索该型材料后续产业化工艺。

图3 高熵聚合物的介电性能
介电测试数据亦暗示了材料内极化基元的高熵状态。随着分子缺陷含量的微量提高,高熵高分子介电温谱中极性峰值逐渐提高,同时峰值温度表现出显著的钉扎特性,揭示分子缺陷在促进铁电极化区总量的同时,并未提高极化基元间的居里常数(极化关联)。介电表征与朗道理论、结构表征数据一道验证了系统所处的极化高熵状态。

图4 高熵聚合物的循环特性
高熵高分子在约40MVm-1的低电场以上即可超过工程应用的电卡效应门槛,在80MVm-1的电场下循环工作六万余次后制冷性能不变。继续循环超过百万次后制冷/制热能量可逆性显著提高,制冷效应仅衰减不足10%。相同工况下,循环寿命提高超过20000倍。使用该型高熵高分子的主动回热型制冷系统理论温跨超过50摄氏度、大温跨工况下热力学完善度超过80%。
研究工作获得科技部重点研发计划变革性技术与关键科学问题专项、国家自然科学基金和上海市自然科学基金原创探索项目的资助。钱小石作为该项交叉研究课题的负责人,提出研究想法后,组织设计实验、搭建平台,与博士生韩东霖完成了主要工作。研究工作获得多个团队支持,其中上海光源原位Xray散射实验,以及美国技术标准局中子平台的准弹性中子散射实验由洪亮课题组完成;黄兴溢团队、黄厚兵团队分别在材料设计合成与相场仿真方面为本研究提供重要支撑。机动学院博士生韩东霖、洪亮团队博士生郑力荣、黄兴溢团队博士后陈杰为共同第一作者;洪亮、黄兴溢与北京理工大学黄厚兵为共同通讯作者。此外,美国宾州州立大学、北卡州立大学等多家国际研究团队也参与了研究工作。
钱小石长期从事功能材料与智能系统研究,参与了多款高分子、陶瓷功能材料设计与制备工艺研发,研制世界首台利用塑料制冷的芯片制冷系统,现任国际能源署53号附件组专家,中国“相变制冷材料与技术专业委员会”委员。入职上海交大以来,他以第一或通讯作者在Nature、Joule(2)、Nature Nanotechnology、中国科学:技术科学(英文版)、国际制冷学报等学术刊物发表多篇论文,主持国家重点研发计划专项课题、自然科学基金面上项目、上海市科委“原创探索”项目等多项原创、学科交叉型科研项目。